Power Type NTC Thermistors
- Description: Applicable to the conversion power supply, switching power supply, UPS power supply, various types of electric heaters, electron energy-saving lamps, electronic ballasts, various electronic devices and power circuit protection such as color display tubes, incandescent lamps and other lighting filament protection.
Power Type NTC Thermistors
◆Introduction:
Electronic circuit in order to avoid the boot at the moment of the surge current generated in the power circuit in a power series-type NTC thermistor, can effectively inhibit the boot when the surge current and surge current at the completion of the role of inhibition after , because, through its continuing role in current, power-type NTC thermistor's resistance value will decrease to very small extent, its power consumption can be neglected, not the normal operating current impact, therefore, in the power supply circuit the use of power-type NTC thermistor is the boot time surge suppression to ensure that damage to electronic equipment from the most simple and effective measures.
Fast response
Small size, big power
Suppression surge current capability
Material constants (B values), and the residual resistance of small
Long life, high reliability
Wide working temperature range
◆Applications
Applicable to the conversion power supply, switching power supply, UPS power supply, various types of electric heaters, electron energy-saving lamps, electronic ballasts, various electronic devices and power circuit protection such as color display tubes, incandescent lamps and other lighting filament protection.
◆Product Coding/ How to Order

① Rated zero power resistance value
② Chip maximum diameter
◆Dimensions

☆ Description: If not specifically pointed out that commonly used for type Ⅱ shape, that is a long curved wire.
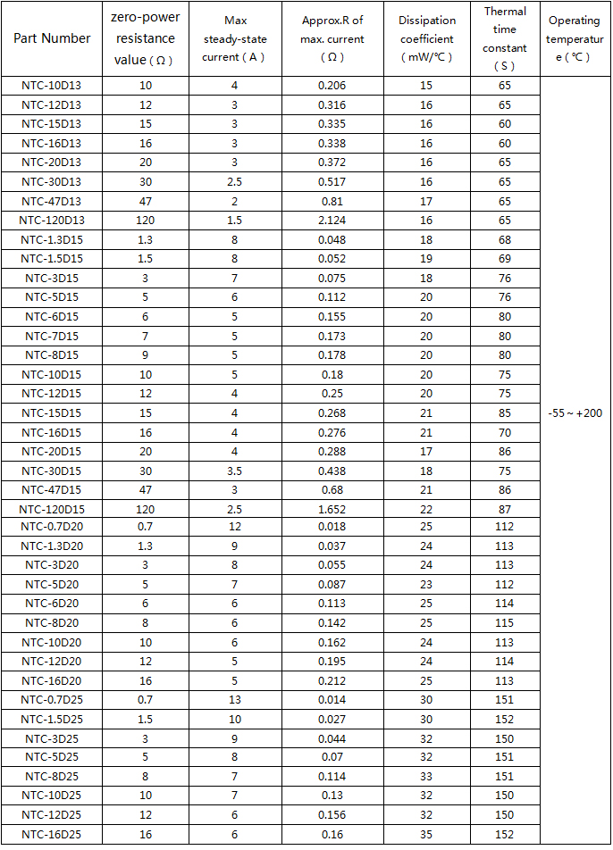
◆Technical Parameters

☆ Designed according to customers request special customized specifications Product.


